Christian Hardtke
    Department of Biology
    christian.hardtke@mcgill.ca
William C. Galley
    Department of Chemistry
    william.galley@mcgill.ca
Gregory Brown
    Department of Biology
    gregory.brown@mgill.ca
    
Main
Introduction
Student Comments
Online Seminar
Fritz Lipmann
The High-Energy Phosphate
Caveats
Semantics
Bond Making & Breaking Tutorial
Hydrophobic Bonding
EXBAN Supporters
Research on Misconception
References
 
Contact Us
 
   

Bond Making & Breaking Tutorial

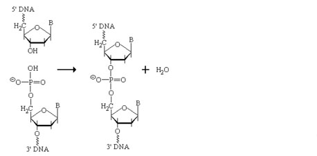
In this second example formation of the phosphodiester link in DNA shown here is the reverse of a hydrolysis reaction. The endothermic nature of this condensation is again examined in terms of bond breaking and making.

 

 
    Next >>  

 

845 Sherbrooke St. W. Montreal, Quebec H3A 2T5 tel:514-398-4455

© 2005 McGill University