Christian Hardtke
    Department of Biology
    christian.hardtke@mcgill.ca
William C. Galley
    Department of Chemistry
    william.galley@mcgill.ca
Gregory Brown
    Department of Biology
    gregory.brown@mgill.ca
    
Main
Introduction
Student Comments
Online Seminar
Fritz Lipmann
The High-Energy Phosphate
Caveats
Semantics
Bond Making & Breaking Tutorial
Hydrophobic Bonding
EXBAN Supporters
Research on Misconception
References
 
Contact Us
 
   

Bond Making & Breaking Tutorial

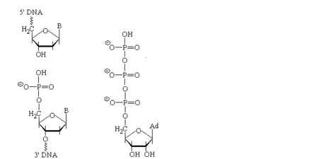
The hydrolysis of a phosphoanhydride linkage in ATP that was considered in the first example is more exothermic and spontaneous, than hydrolysis of a phosphodiester linkage in DNA.

 

 
    Next >>  

 

845 Sherbrooke St. W. Montreal, Quebec H3A 2T5 tel:514-398-4455

© 2005 McGill University